I understand Physics because I fight with problem unless I solve it.............RKH SIR
MY STRUGGLE FOR IIT JEE
COMPLETE PHYSICS LECTURES OF RKH SIR OF 11th & 12th
SOLUTION OF IRODOV BY RKH SIR
HC VERMA SOLUTIONS
Thursday, 5 July 2012
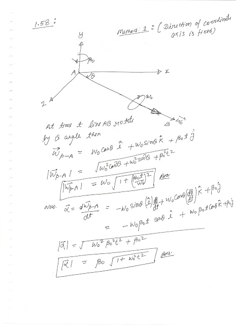
problem 1.58 method 1 and method 2
Newer Post
Older Post
Home