SOLUTIONS TO I E IRODOV BY RKH

I understand Physics because I fight with problem unless I solve it.............RKH SIR

MY STRUGGLE FOR IIT JEE

  • COMPLETE PHYSICS LECTURES OF RKH SIR OF 11th & 12th
  • SOLUTION OF IRODOV BY RKH SIR
  • HC VERMA SOLUTIONS

Thursday, 23 August 2012

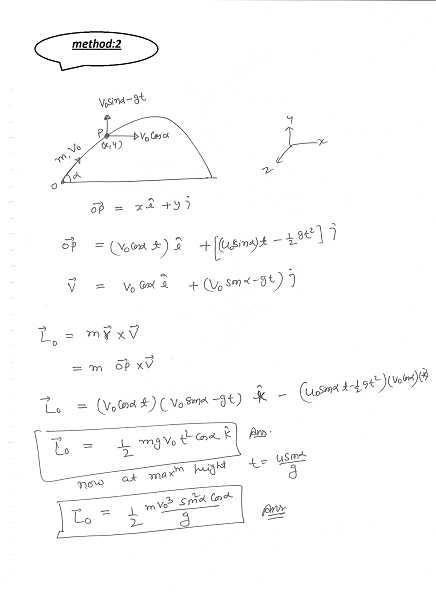
problem:1.186



Posted by Irodov at 22:13
Email ThisBlogThis!Share to XShare to FacebookShare to Pinterest
Newer Post Older Post Home

About Me

Irodov
View my complete profile

TOTAL PAGEVIEWS

If you wants to find help likes concetual doubt clearance, tricks during solving questions.JOIN US

IMPORTANT LINKS

  • **PHYSICS SOLVING TECHNIQUES**
  • ABOUT AUTHOR
  • ISM DHANBAD
  • KVPY
  • MAIN PAGE::IRODOV SOLUTIONS
  • MOTIVATIONAL WORDS
  • MY BOOK: IRODOV SOLUTION
  • PHYSICS TEXT BOOKS
  • PHYSICS TEXT BOOKS
  • Why IITs are Important?
  • PHYSICS TEXT BOOKS
  • WHAT IS DISCIPLINE?
SEEMA SHARMA. Powered by Blogger.