I understand Physics because I fight with problem unless I solve it.............RKH SIR
MY STRUGGLE FOR IIT JEE
COMPLETE PHYSICS LECTURES OF RKH SIR OF 11th & 12th
SOLUTION OF IRODOV BY RKH SIR
HC VERMA SOLUTIONS
Tuesday, 11 December 2012
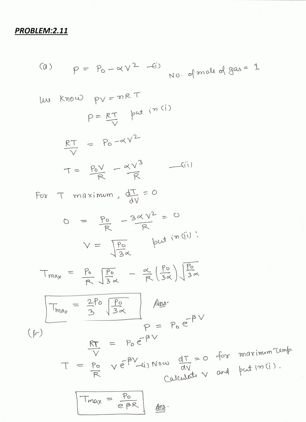
PROBLEM:2.11
Newer Post
Older Post
Home