I understand Physics because I fight with problem unless I solve it.............RKH SIR
MY STRUGGLE FOR IIT JEE
COMPLETE PHYSICS LECTURES OF RKH SIR OF 11th & 12th
SOLUTION OF IRODOV BY RKH SIR
HC VERMA SOLUTIONS
Friday, 31 May 2013
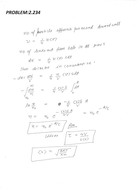
problem:2.234
Newer Post
Older Post
Home